Allergic manifestations of inborn errors of immunity and their impact on the diagnosis: A worldwide study

Affiliations


Abstract

Background: Allergies have long been observed in Inborn Errors of Immunity (IEI) and might even be the first presentation resulting in delayed diagnosis or misdiagnosis in some cases. However, data on the prevalence of allergic diseases among IEI patients are limited and contradictory.

Objective: To provide a worldwide view of allergic diseases, across a broad spectrum of IEI, and their impact on the timely diagnosis of IEI.

Methods: This is a worldwide study, conceived by the World Allergy Organization (WAO) Inborn Errors of Immunity Committee. A questionnaire was developed and pilot-tested and was sent via email to collect data from 61 immunology centers known to treat pediatric and/or adult IEI patients in 41 countries. In addition, a query was submitted to The United States Immunodeficiency Network (USIDNET) at its website.

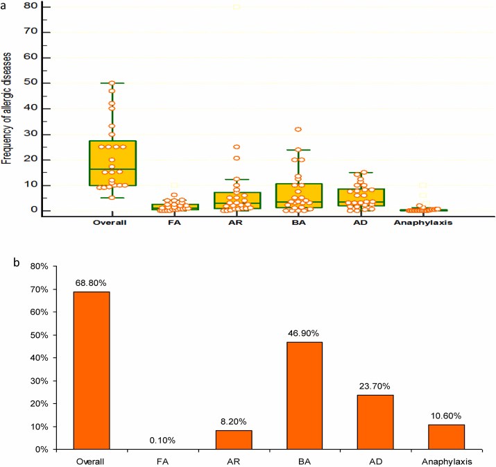
Results: Thirty centers in 23 countries caring for a total 8450 IEI patients responded. The USIDNET dataset included 2332 patients. Data from responders showed that a median (IQR) of 16.3% (10-28.8%) of patients experienced allergic diseases during the course of their IEI as follows: 3.6% (1.3-11.3%) had bronchial asthma, 3.6% (1.9-9.1%) atopic dermatitis, 3.0% (1.0-7.8%) allergic rhinitis, and 1.3% (0.5-3.3%) food allergy. As per the USIDNET data, the frequency of allergy among IEI patients was 68.8% (bronchial asthma in 46.9%). The percentage of IEI patients who presented initially with allergic disorders was 8% (5-25%) and diagnosis delay was reported in 7.5% (0.9-20.6%). Predominantly antibody deficiencies had the highest frequency of allergic disease followed by combined immunodeficiency with a frequency of 40.3% (19.2-62.5%) and 20.0% (10-32%) respectively. As per the data of centers, anaphylaxis occurred in 25/8450 patients (0.3%) whereas per USIDNET dataset, it occurred in 249/2332 (10.6%); drugs and food allergy were the main causes in both datasets.

Conclusions: This multinational study brings to focus the relation between allergic diseases and IEI. Major allergies do occur in IEI patients but were less frequent than the general population. Initial presentation with allergy could adversely affect the timely diagnosis of IEI. There is a need for policies to raise awareness and educate primary care and other referring specialties on the association of allergic diseases with IEI. This study provides a network among centers for future prospective studies in the field.

Keywords: Allergic rhinitis; Anaphylaxis; Asthma; Atopic dermatitis; IVIG; Omalizumab; Primary immunodeficiency.

Conflict of interest statement

The authors declare that they have no competing interests.


Figures


Similar articles

Guideline on allergen-specific immunotherapy in IgE-mediated allergic diseases: S2k Guideline of the German Society for Allergology and Clinical Immunology (DGAKI), the Society for Pediatric Allergy and Environmental Medicine (GPA), the Medical Association of German Allergologists (AeDA), the Austrian Society for Allergy and Immunology (ÖGAI), the Swiss Society for Allergy and Immunology (SGAI), the German Society of Dermatology (DDG), the German Society of Oto- Rhino-Laryngology, Head and Neck Surgery (DGHNO-KHC), the German Society of Pediatrics and Adolescent Medicine (DGKJ), the Society for Pediatric Pneumology (GPP), the German Respiratory Society (DGP), the German Association of ENT Surgeons (BV-HNO), the Professional Federation of Paediatricians and Youth Doctors (BVKJ), the Federal Association of Pulmonologists (BDP) and the German Dermatologists Association (BVDD).

Pfaar O, Bachert C, Bufe A, Buhl R, Ebner C, Eng P, Friedrichs F, Fuchs T, Hamelmann E, Hartwig-Bade D, Hering T, Huttegger I, Jung K, Klimek L, Kopp MV, Merk H, Rabe U, Saloga J, Schmid-Grendelmeier P, Schuster A, Schwerk N, Sitter H, Umpfenbach U, Wedi B, Wöhrl S, Worm M, Kleine-Tebbe J, Kaul S, Schwalfenberg A.Allergo J Int. 2014;23(8):282-319. doi: 10.1007/s40629-014-0032-2.PMID: 26120539 Free PMC article.

Rheumatologic diseases in patients with inborn errors of immunity in the USIDNET registry.

Padem N, Wright H, Fuleihan R, Garabedian E, Suez D, Cunningham-Rundles C, Marsh RA, Khojah A.Clin Rheumatol. 2022 Jul;41(7):2197-2203. doi: 10.1007/s10067-021-06044-4. Epub 2022 Jan 31.PMID: 35099673

The Prevalence of Atopic Manifestations in 313 Iranian Patients with Inborn Errors of Immunity.

Ghaini M, Jamee M, Mahdaviani SA, Mesdaghi M, Eskandarzadeh S, Rae W, Eslami N, Eslamian G, Mansouri M, Babaei D, Enayat J, Emami H, Doustkhah S, Hosseini Abajalou M, Rekabi M, Chavoshzadeh Z.Int Arch Allergy Immunol. 2021;182(11):1122-1126. doi: 10.1159/000516596. Epub 2021 May 31.PMID: 34058734

Types and Amounts of Complementary Foods and Beverages and Food Allergy, Atopic Dermatitis/Eczema, Asthma, and Allergic Rhinitis: A Systematic Review [Internet].

Obbagy JE, English LK, Psota TL, Nadaud P, Johns K, Wong YP, Terry N, Butte NF, Dewey KG, Fleischer DM, Fox MK, Greer FR, Krebs NF, Scanlon KS, Casavale KO, Spahn JM, Stoody E.Alexandria (VA): USDA Nutrition Evidence Systematic Review; 2019 Apr.PMID: 35816599 Free Books & Documents. Review.

Eosinophilic Gastrointestinal Diseases in Inborn Errors of Immunity.

Votto M, Naso M, Brambilla I, Caimmi S, De Filippo M, Licari A, Marseglia GL, Castagnoli R.J Clin Med. 2023 Jan 8;12(2):514. doi: 10.3390/jcm12020514.PMID: 36675441 Free PMC article. Review.


Cited by

Multiplex Proteomic Evaluation in Inborn Errors with Deregulated IgE Response.

Scala E, Madonna S, Castiglia D, Scala A, Caprini E, Paganelli R.Biomedicines. 2023 Jan 13;11(1):202. doi: 10.3390/biomedicines11010202.PMID: 36672710 Free PMC article.


KMEL References


References

  1.  
    1. Bousfiha A., Jeddane L., Picard C., et al. Human inborn errors of immunity: 2019 update of the IUIS phenotypical classification. J Clin Immunol. 2020;40:66–81. doi: 10.1007/s10875-020-00758. - DOI - PMC - PubMed
  2.  
    1. Sokol K., Milner J.D. The overlap between allergy and immunodeficiency. Curr Opin Pediatr. 2018 Dec;30(6):848–854. doi: 10.1097/MOP.0000000000000697. - DOI - PubMed
  3.  
    1. Tuano K.S., Orange J.S., Sullivan K., Cunningham-Rundles C., Bonilla F.A., Davis C.M. Food allergy in patients with primary immunodeficiency diseases: prevalence within the US Immunodeficiency Network (USIDNET) J Allergy Clin Immunol. 2015 Jan;135(1):273–275. doi: 10.1016/j.jaci.2014.09.024. - DOI - PMC - PubMed
  4.  
    1. Dhouib N.G., Ben Khaled M., Ouederni M., et al. Cutaneous manifestations of primary immunodeficiency diseases in Tunisian children. Mediterr J Hematol Infect Dis. 2018 Nov 1;10(1) doi: 10.4084/MJHID.2018.065. - DOI - PMC - PubMed
  5.  
    1. Al-Herz W., Nanda A. Skin manifestations in primary immunodeficient children. Pediatr Dermatol. 2011;28:494–501. - PubMed
  6.  
    1. Özcan C., Metin A., Erkoçoğlu M., Kocabaş C.N. Allergic diseases in children with primary immunodeficiencies. Turk J Pediatr. 2014 Jan-Feb;56(1):41–47. - PubMed
  7.  
    1. Janzi M., Kull I., Sjoberg R., et al. Selective IgA deficiency in early life: association to infections and allergic diseases during childhood. Clin Immunol. 2009;133:78–85. doi: 10.1016/j.clim.2009.05.014. - DOI - PubMed
  8.  
    1. Aghamohammadi A., Cheraghi T., Gharagozlou M., et al. IgA deficiency: correlation between clinical and immuno-logical phenotypes. J Clin Immunol. 2009;29:130–136. - PubMed
  9.  
    1. Bjelac J.A., Blanch M.B., Fernandez J. Allergic disease in patients with common variable immunodeficiency at a tertiary care referral center. Ann Allergy Asthma Immunol. 2018 Jan;120(1):90–92. doi: 10.1016/j.anai.2017.09.075. - DOI - PubMed
  10.  
    1. Boyarchuk O., Lewandowicz-Uszynska A., Kinash M., Haliyash N., Sahal I., Kovalchuk T. Physicians’ awareness concerning primary immunodeficiencies in Ternopil region, Ukraine. Pediatr Pol. 2018;93:221–228.
  11.  
    1. United Nations, editor. World Economic Situation and Prospects. 2020. Economic analysis and policy division of the department of economic and social Affairs annex.https://www.un.org/development/desa/dpad/publication/world-economic-situ... P165-6 published January 16, 2020.
  12.  
    1. Pawankar R., Canonica G.W., Holgate S.T., Lockey R.F., Blaiss M.S. World Allergy Organization; Milwaukee, WI: 2013. WAO White Book on Allergy: Update 2013.https://www.worldallergy.org/wao-white-book-on-allergy
  13.  
    1. Tarlo S.M., Balmes J., Balkissoon R., et al. Diagnosis and management of work-related asthma: American college of chest physicians consensus statement. Chest. 2008 Sep;134(3 Suppl):1S–41S. doi: 10.1378/chest.08-0201. - DOI - PubMed
  14.  
    1. Nutten S. Atopic dermatitis: global epidemiology and risk factors. Ann Nutr Metab. 2015;66(suppl 1):8–16. doi: 10.1159/000370220. - DOI - PubMed
  15.  
    1. Eichenfield L.F., Tom W.L., Chamlin S.L., et al. Guidelines of care for the management of atopic dermatitis: section 1. diagnosis and assessment of atopic dermatitis. J Am Acad Dermatol. 2014;70(2):338–351. doi: 10.1016/j.jaad.2013.10.010. - DOI - PMC - PubMed
  16.  
    1. Asher M.I., Montefort S., Björkstén B., et al. ISAAC Phase Three Study Group Worldwide time trends in the prevalence of symptoms of asthma, allergic rhinoconjunctivitis, and eczema in childhood: ISAAC Phases One and Three repeat multicountry cross-sectional surveys. Lancet. 2006 Aug 26;368(9537):733–743. - PubMed
  17.  
    1. To T., Stanojevic S., Moores G., et al. Global asthma prevalence in adults: findings from the cross-sectional world health survey. BMC Publ Health. 2012 Mar 19;12:204. doi: 10.1186/1471-2458-12-204. - DOI - PMC - PubMed
  18.  
    1. Georgy V., Fahim H.I., El-Gaafary M., Walters S. Prevalence and socioeconomic associations of asthma and allergic rhinitis in northern [corrected] Africa. Eur Respir J. 2006 Oct;28(4):756–762. doi: 10.1183/09031936.06.00089005. - DOI - PubMed
  19.  
    1. Carvalho D., Aguiar P., Ferrinho P., Mendes-Bastos P., Palma-Carlos A. Eczema and urticaria in the adult population in Portugal: a prevalence study. Actas Dermosifiliogr (Engl Ed). 2019 Nov;110(9):744–751. doi: 10.1016/j.ad.2019.03.005. English, Spanish. - DOI - PubMed
  20.  
    1. Khaldi F., Fakhfakh R., Mattoussi N., Ben Ali B., Zouari S., Khémiri M. Prevalence and severity of asthma, allergic rhinoconjunctivitis and atopic eczema in "Grand Tunis" schoolchildren: ISAAC. Tunis Med. 2005 May;83(5):269–273. - PubMed
  21.  
    1. Cunningham-Rundles C., Bodian C. Common variable immunodeficiency: clinical and immunological features of 248 patients. Clin Immunol. 1999;92:34–48. doi: 10.1006/clim.1999.4725. - DOI - PubMed
  22.  
    1. Chapel H., Lucas M., Lee M., et al. Common variable immunodeficiency disorders: division into distinct clinical phenotypes. Blood. 2008;112:277–286. doi: 10.1182/blood-2007-11-124545. - DOI - PubMed
  23.  
    1. Quinti I., Soresina A., Spadaro G., et al. Long-term follow-up and outcome of a large cohort of patients with common variable immunodeficiency. J Clin Immunol. 2007;27:308–316. doi: 10.1007/s10875-007-9075-1. - DOI - PubMed
  24.  
    1. Gathmann B., Mahlaoui N., Ceredih, et al. Clinical picture and treatment of 2212 patients with common variable immunodeficiency. J Allergy Clin Immunol. 2014;134:116–126. doi: 10.1016/j.jaci.2013.12.1077. - DOI - PubMed
  25.  
    1. Aghamohammadi A., Bahrami A., Mamishi S., et al. Impact of delayed diagnosis in children with primary antibody deficiencies. J Microbiol Immunol Infect. 2011;44:229–234. doi: 10.1016/j.jmii.2011.01.026. - DOI - PubMed
  26.  
    1. Slade C.A., Bosco J.J., Giang T.B., et al. Delayed diagnosis and complications of predominantly antibody deficiencies in a cohort of Australian adults. Front Immunol. 2018;9(694) doi: 10.3389/fimmu.2018.00694. - DOI - PMC - PubMed
  27.  
    1. Urschel S., Kayikcl L., Wintergerst U., Notheis G., Jansson A., Belohradsky B. Common variable immunodeficiency disorders in children: delayed diagnosis despite typical clinical presentation. J Pediatr. 2009;154:888–894. doi: 10.1016/j.jpeds.2008.12.020. - DOI - PubMed
  28.  
    1. Comberiati P., Costagliola G., Carli N., et al. Refractory chronic spontaneous urticaria treated with omalizumab in an adolescent with common variable immunodeficiency. Front Immunol. 2019;10:1700. doi: 10.3389/fimmu.2019.01700. - DOI - PMC - PubMed
  29.  
    1. Melo K.M., Dantas E., DeMoraes-Pinto M.I., et al. Primary immunodeficiency may be misdiagnosed as cow's milk allergy: seven cases referred to a Tertiary Pediatric Hospital. ISRN Pediatr. 2013;2013 doi: 10.1155/2013/470286. Published online 2013 Sep. 30. - DOI - PMC - PubMed
  30.  
    1. Durandy A., Kracker S., Fischer A. Primary antibody deficiencies. Nat Rev Immunol. 2013;13(7):519–533. doi: 10.1038/nri3466. - DOI - PubMed
  31.  
    1. Abolhassani H., Parvaneh N., Rezaei N., Hammarstrom L., Aghamohammadi A. Genetic defects in B-cell development and their clinical consequences. J Investig Allergol Clin Immunol. 2014;24:6–22. - PubMed
  32.  
    1. Edwards E., Razvi S., Cunningham-Rundles C. IgA deficiency: clinical correlates and responses to pneumococcal vaccine. Clin Immunol. 2004;111:93–97. doi: 10.1016/j.clim.2003.12.005. - DOI - PubMed
  33.  
    1. Szczawinska-Poplonyk A. An overlapping syndrome of allergy and immune deficiency in children. J Allergy. 2012 doi: 10.1155/2012/658279. Article ID 658279. - DOI - PMC - PubMed
  34.  
    1. Ogershok P.R., Hogan M.B., Welch J.E., Corder W.T., Wilson N.W. Spectrum of illness in pediatric common variable immunodeficiency. Ann Allergy Asthma Immunol. 2006;97(5):653–656. doi: 10.1016/S1081-1206(10)61096-4. - DOI - PubMed
  35.  
    1. Agondi R.C., Barros M.T., Rizzo L.V., Kalil J., Giavina-Bianchi P. Allergic asthma in patients with common variable immunodeficiency. Allergy. 2010;65:510–515. - PubMed
  36.  
    1. Lee S., Ban G., Kim S., et al. Association between primary immunodeficiency and asthma exacerbation in adult asthmatics. Korean J Intern Med. 2020;35:449–456. doi: 10.3904/kjim.2018.413. - DOI - PMC - PubMed
  37.  
    1. Rezaei N., Aghamohammadi A., Kardar G.A., Nourizadeh M., Pourpak Z. T- helper 1 and 2 cytokine assay in patients with common variable immunodeficiency. J Investigational Allergology Clin ImmunoL. 2008;18(6):449–453. - PubMed
  38.  
    1. Ghaini M., Jamee M., Mahdaviani S.A., et al. The prevalence of atopic manifestations in 313 Iranian patients with inborn errors of immunity. Int Arch Allergy Immunol. 2021;182(11):1122–1126. doi: 10.1159/000516596. - DOI - PubMed
  39.  
    1. Lawrence M.G., Barber J.S., Sokolic R.A., et al. Elevated IgE and atopy in patients treated for early-onset ADA-SCID. J Allergy Clin Immunol. 2013;132:1444–1446. doi: 10.1016/j.jaci.2013.05.040. - DOI - PMC - PubMed
  40.  
    1. Hagl B., Heinz V., Schlesinger A., et al. Key findings to expedite the diagnosis of hyper-IgE syndromes in infants and young children. Pediatr Allergy Immunol. 2016;27:177–184. doi: 10.1111/pai.12512. - DOI - PubMed
  41.  
    1. Siegel A.M., Stone K.D., Cruse G., et al. Diminished allergic disease in patients with STAT3 mutations reveals a role for STAT3 signaling in mast cell degranulation. J Allergy Clin Immunol. 2013;132:1388–1396. doi: 10.1016/j.jaci.2013.08.045. - DOI - PMC - PubMed
  42.  
    1. Hox V., O'Connell M.P., Lyons J.J., et al. Diminution of signal transducer and activator of transcription 3 signaling inhibits vascular permeability and anaphylaxis. J Allergy Clin Immunol. 2016;138:187–199. doi: 10.1016/j.jaci.2015.11.024. - DOI - PMC - PubMed
  43.  
    1. Janssen E., Tohme M., Hedayat M., et al. A DOCK8-WIP-WASp complex links T-cell receptor to the actin cytoskeleton. J Clin Invest. 2016;126:3837–3851. doi: 10.1172/JCI85774. - DOI - PMC - PubMed
  44.  
    1. Milner J.D., Fazilleau N., McHeyzer-Williams M., Paul W. Cutting Edge: lack of high affinity competition for peptide in polyclonal CD4 + responses unmasks IL-4 production. J Immunol. 2010;184:6569–6573. - PMC - PubMed
  45.  
    1. Ochs H.D., Thrasher A.J. The Wiskott-Aldrich syndrome. J Allergy Clin Immunol. 2006;117:725–738. doi: 10.1016/j.jaci.2006.02.005. - DOI - PubMed
  46.  
    1. Al-Herz W., Chu J.I., van der Spek J., et al. Hematopoietic stem cell transplantation outcomes for 11 patients with dedicator of cytokinesis 8 deficiency. J Allergy Clin Immunol. 2016 Sep;138(3):852–859. doi: 10.1016/j.jaci.2016.02.022. e3. - DOI - PMC - PubMed
  47.  
    1. Ponsford M.J., Klocperk A., Pulvirenti F., et al. Hyper-IgE in the allergy clinic––when is it primary immunodeficiency? Allergy. 2018;73:2122–2136. - PubMed
  48.  
    1. Lawrence M.G. Patterns of allergic sensitization in high IgE syndromes. Curr Allergy Asthma Rep. 2015;15:8. - PubMed
  49.  
    1. Bonilla F.A., Khan D.A., Ballas Z.K., et al. Practice parameter for the diagnosis and management of primary immunodeficiency. J Allergy Clin Immunol. 2015 Nov;136(5):1186–1205. doi: 10.1016/j.jaci.2015.04.049. e1-78. - DOI - PubMed
  50.  
    1. Burks A.W., Sampson H.A., Buckley R.H. Anaphylactic reactions after gamma globulin administration in patients with hypogammaglobulinemia. Detection of IgE antibodies to IgA. N Engl J Med. 1986;314:560–564. 1986. - PubMed
  51.  
    1. Gharib A., Caperton C., Gupta S. Anaphylaxis to IGIV in immunoglobulin-naïve common variable immunodeficiency patient in the absence of IgG anti-IgA antibodies: successful administration of low IgA-containing immunoglobulin. Allergy Asthma Clin Immunol. 2016 May 17;12:23. doi: 10.1186/s13223-016-0132-2. - DOI - PMC - PubMed
  52.  
    1. Kuijpers T.W., Tool A.T.J., van der Bijl I., et al. Combined immunodeficiency with severe inflammation and allergy caused by ARPC1B deficiency. J Allergy Clin Immunol. 2017 Jul;140(1):273–277. doi: 10.1016/j.jaci.2016.09.061. e10. - DOI - PubMed
  53.  
    1. Milner J.D. PLAID: a Syndrome of complex patterns of disease and unique phenotypes. J Clin Immunol. 2015;35:527–530. doi: 10.1007/s10875-015-0177-x. - DOI - PMC - PubMed
  54.  
    1. Barzaghi F., Hernandez L.C., Neven B., et al. Long-term follow-up of IPEX syndrome patients after different therapeutic strategies: an international multicenter retrospective study. J Allergy Clin Immunol. 2018;141:1036–1049. doi: 10.1016/j.jaci.2017.10.041. - DOI - PMC - PubMed
  55.  
    1. Bard S., Paravisini A., Aviles-Izquierdo J.A., Fernandez-Cruz E., Sanchez Ramon S. Eczematous dermatitis in the setting of hyper-IgE syndrome successfully treated with omalizumab. Arch Dermatol. 2008;144:1662–1663. doi: 10.1001/archdermatol.2008.510. - DOI - PubMed