Ketoacidosis at first presentation of type 1 diabetes mellitus among children: a study from Kuwait

Affiliations

22 June 2016

-

doi: 10.1038/srep27519


Abstract

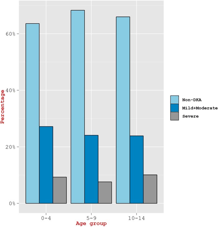
We examined the frequency and severity of diabetic ketoacidosis (DKA) in 679 children and adolescents (0-14 years) at diagnosis of Type 1 Diabetes Mellitus (T1DM) in Kuwait. Between 1(st) January 2011 and 31(st) December 2013, all newly diagnosed children with diabetes were registered prospectively in a population-based electronic register. DKA was diagnosed using standard criteria based on the levels of venous pH and serum bicarbonate. At the time of diagnosis, mild/moderate DKA was present in 24.8% of the children, while severe DKA was present in 8.8%. Incidence of ketoacidosis was significantly higher in young children less than 2 (60.7% vs 32.4% p = <0.005) compared to children 2-14 years old, and a higher proportion presented with severe DKA (21.4% vs 8.3% p = <0.05). No association was seen with gender. Significant differences were found in the incidence of DKA between Kuwaiti and non-Kuwaiti children (31.1% vs 39.8%; p < 0.05). Family history of diabetes had a protective effect on the occurrence of DKA (OR = 0.44; 95% CI = 0.27-0.71). Incidence of DKA in children at presentation of T1DM remains high at 33.6%. Prevention campaigns are needed to increase public awareness among health care providers, parents and school teachers in Kuwait.


Figures


Similar articles

Ketoacidosis at presentation of type 1 diabetes in children in Kuwait: frequency and clinical characteristics.

Abdul-Rasoul M, Al-Mahdi M, Al-Qattan H, Al-Tarkait N, Alkhouly M, Al-Safi R, Al-Shawaf F, Mahmoud H.Pediatr Diabetes. 2010 Aug;11(5):351-6. doi: 10.1111/j.1399-5448.2009.00600.x.PMID: 19821943

Identifying targets to reduce the incidence of diabetic ketoacidosis at diagnosis of type 1 diabetes in the UK.

Lokulo-Sodipe K, Moon RJ, Edge JA, Davies JH.Arch Dis Child. 2014 May;99(5):438-42. doi: 10.1136/archdischild-2013-304818. Epub 2014 Jan 6.PMID: 24395643

First report on the nationwide incidence of type 1 diabetes and ketoacidosis at onset in children in Serbia: a multicenter study.

Vukovic R, Jesic MD, Vorgucin I, Stankovic S, Folic N, Milenkovic T, Sajic S, Katanic D, Zivic S, Markovic S, Soldatovic I.Eur J Pediatr. 2018 Aug;177(8):1155-1162. doi: 10.1007/s00431-018-3172-4. Epub 2018 May 17.PMID: 29774417

Ketoacidosis at onset of type 1 diabetes mellitus in pediatric age in Spain and review of the literature.

Oyarzabal Irigoyen M, García Cuartero B, Barrio Castellanos R, Torres Lacruz M, Gómez Gila AL, González Casado I, Hermoso López F, Luzuriaga Tomás C, Rica Etxebarrial I, López García MJ, Rodríguez Rigual M.Pediatr Endocrinol Rev. 2012 Mar;9(3):669-71.PMID: 22523835 Review.

Incidence of Diabetic Ketoacidosis of New-Onset Type 1 Diabetes in Children and Adolescents in Different Countries Correlates with Human Development Index (HDI): An Updated Systematic Review, Meta-Analysis, and Meta-Regression.

Große J, Hornstein H, Manuwald U, Kugler J, Glauche I, Rothe U.Horm Metab Res. 2018 Mar;50(3):209-222. doi: 10.1055/s-0044-102090. Epub 2018 Mar 9.PMID: 29523007 Review.


Cited by

Epidemiological trends in the presentation of diabetic ketoacidosis in children newly diagnosed with type 1 diabetes from 2011 to 2017 in Kuwait.

Al-Abdulrazzaq D, Othman F, Qabazard S, Al-Tararwa A, Ahmad D, Al-Sanae H, Al-Kandari H.Front Endocrinol (Lausanne). 2022 Dec 9;13:908458. doi: 10.3389/fendo.2022.908458. eCollection 2022.PMID: 36568099 Free PMC article.

Frequency, Clinical Characteristics and Predictors of Ketoacidosis at Diagnosis of Type One Diabetes Mellitus in Children and Adolescents from Jordan.

Odeh R, Gharaibeh L, Daher A, Albaramki J, Ashour B, Al Barakat F, Dahabreh D, Hadadin H, Melhem T, Alassaf A.J Clin Res Pediatr Endocrinol. 2023 Feb 27;15(1):46-54. doi: 10.4274/jcrpe.galenos.2022.2022-5-8. Epub 2022 Oct 20.PMID: 36264035 Free PMC article.

Continuous subcutaneous insulin infusion is associated with a better glycemic control than multiple daily insulin injections without difference in diabetic ketoacidosis and hypoglycemia admissions among Emiratis with Type 1 diabetes.

Almazrouei R, Sharma C, Afandi B, Aldahmani KM, Aburawi EH, Beshyah SA, ElGhazali G, Al Yafei Z, Al-Rifai RH, Alkaabi J.PLoS One. 2022 Sep 22;17(9):e0264545. doi: 10.1371/journal.pone.0264545. eCollection 2022.PMID: 36136973 Free PMC article.

Sib-pair subgroup familial type 1 diabetes mellitus in children in the state of Qatar.

Afyouni H, Haris B, Syed N, Ahmed I, Hamed N, Abdel-Karim T, Mohammed S, Khalifa A, Al-Maadheed M, Zyoud M, Elawwa A, Al-Khalaf F, Petrovski G, Hussain K.PLoS One. 2022 Jul 8;17(7):e0271182. doi: 10.1371/journal.pone.0271182. eCollection 2022.PMID: 35802651 Free PMC article.

Diabetic Ketoacidosis at the Onset of Type 1 Diabetes Mellitus Among Children and Adolescents in Jeddah, Saudi Arabia: A Study From the Emergency Department.

Batwa M, Alharthi L, Ghazal R, Alsulami M, Slaghour R, Aljuhani R, Bakhsh A.Cureus. 2022 Apr 25;14(4):e24456. doi: 10.7759/cureus.24456. eCollection 2022 Apr.PMID: 35651441 Free PMC article.


KMEL References


References

  1.  
    1. Szypowska A. & Skórka A. The risk factors of ketoacidosis in children with newly diagnosed type 1 diabetes mellitus. Pediatr. Diabetes 12, 302–306 (2011). - PubMed
  2.  
    1. Rosenbloom A. L. Intracerebral crises during treatment of diabetic ketoacidosis. Diabetes Care 13, 22–33 (1990). - PubMed
  3.  
    1. Lokulo-Sodipe K., Moon R. J., Edge J. A. & Davies J. H. Identifying targets to reduce the incidence of diabetic ketoacidosis at diagnosis of type 1 diabetes in the UK. Arch. Dis. Child. 99, 438–442 (2014). - PubMed
  4.  
    1. Usher-Smith J. A., Thompson M., Ercole A. & Walter F. M. Variation between countries in the frequency of diabetic ketoacidosis at first presentation of type 1 diabetes in children: a systematic review. Diabetologia 55, 2878–2894 (2012). - PMC - PubMed
  5.  
    1. Ahmed A. M. et al.. Reduced frequency and severity of ketoacidosis at diagnosis of childhood type 1 diabetes in Northwest Saudi Arabia. J Pediatr Endocrinol Metab. 10.1515/jpem-2015-0077 (2015). - DOI - PubMed
  6.  
    1. DIAMOND Project Group. Incidence and trends of childhood Type 1 diabetes worldwide 1990–1999. Diabet. Med. J. Br. Diabet. Assoc. 23, 857–866 (2006). - PubMed
  7.  
    1. Shaltout A. A. et al.. High incidence of childhood-onset IDDM in Kuwait. Kuwait Study Group of Diabetes in Childhood. Diabetes Care 18, 923–927 (1995). - PubMed
  8.  
    1. Shaltout A. A. et al.. Further evidence for the rising incidence of childhood Type 1 diabetes in Kuwait. Diabet. Med. J. Br. Diabet. Assoc. 19, 522–525 (2002). - PubMed
  9.  
    1. al Khawari M. et al.. Incidence and severity of ketoacidosis in childhood-onset diabetes in Kuwait. Kuwait Diabetes Study Group. Diabetes Res. Clin. Pract. 35, 123–128 (1997). - PubMed
  10.  
    1. Jefferies C. et al.. 15-year incidence of diabetic ketoacidosis at onset of type 1 diabetes in children from a regional setting (Auckland, New Zealand). Sci. Rep. 5, 10358 (2015). - PMC - PubMed
  11.  
    1. Abdul-Rasoul M. et al.. Ketoacidosis at presentation of type 1 diabetes in children in Kuwait: frequency and clinical characteristics. Pediatr. Diabetes 11, 351–356 (2010). - PubMed
  12.  
    1. Habib H. S. Frequency and clinical characteristics of ketoacidosis at onset of childhood type 1 diabetes mellitus in northwest Saudi arabia. Saudi Med. J. 26, 1936–1939 (2005). - PubMed
  13.  
    1. Abduljabbar M. A., Aljubeh J. M., Amalraj A. & Cherian M. P. Incidence trends of childhood type 1 diabetes in eastern Saudi Arabia. Saudi Med. J. 31, 413–418 (2010). - PubMed
  14.  
    1. Soliman A. T., al Salmi I. & Asfour M. Mode of presentation and progress of childhood diabetes mellitus in the Sultanate of Oman. J. Trop. Pediatr. 43, 128–132 (1997). - PubMed
  15.  
    1. Punnose J., Agarwal M. M., El Khadir A., Devadas K. & Mugamer I. T. Childhood and adolescent diabetes mellitus in Arabs residing in the United Arab Emirates. Diabetes Res. Clin. Pract. 55, 29–33 (2002). - PubMed
  16.  
    1. Conway N. T. et al.. The Kuwait-Scotland eHealth Innovation Network (KSeHIN): a sustainable approach to quality improvement in healthcare. Qual. Prim. Care 22, 43–51 (2014). - PubMed
  17.  
    1. McCARTY D. J., Tull E. S., Moy C. S., Kwoh C. K. & Laporte R. E. Ascertainment Corrected Rates: Applications of Capture-Recapture Methods. Int. J. Epidemiol. 22, 559–565 (1993). - PubMed
  18.  
    1. Gabir M. M. et al.. The 1997 American Diabetes Association and 1999 World Health Organization criteria for hyperglycemia in the diagnosis and prediction of diabetes. Diabetes Care 23, 1108–1112 (2000). - PubMed
  19.  
    1. Craig M. E., Hattersley A. & Donaghue K. & International Society for Pediatric and Adolescent Diabetes. ISPAD Clinical Practice Consensus Guidelines 2006–2007. Definition, epidemiology and classification. Pediatr. Diabetes 7, 343–351 (2006). - PubMed
  20.  
    1. World Medical Association. World Medical Association Declaration of Helsinki. Ethical principles for medical research involving human subjects. Bull. World Health Organ. 79, 373–374 (2001). - PMC - PubMed
  21.  
    1. Fredheim S. et al.. Diabetic ketoacidosis at the onset of type 1 diabetes is associated with future HbA1c levels. Diabetologia. 56(5), 995–1003 (2013). - PubMed
  22.  
    1. Jefferies C. et al.. 15-year incidence of diabetic ketoacidosis at onset of type 1 diabetes in children from a regional setting (Auckland, New Zealand). Sci Rep. 5, 10358 (2015). - PMC - PubMed
  23.  
    1. Lévy-Marchal C., Patterson C. C., Green A. & EURODIAB ACE Study Group. Europe and Diabetes. Geographical variation of presentation at diagnosis of type I diabetes in children: the EURODIAB study. European and Dibetes. Diabetologia. 44 Suppl 3, B75–80 (2001). - PubMed
  24.  
    1. Schober E. et al.. Diabetic ketoacidosis at diagnosis in Austrian children in 1989–2008: A population-based analysis. Diabetologia. 53, 1057–1061 (2010). - PubMed
  25.  
    1. Neu A. et al.. Ketoacidosis at diabetes onset is still frequent in children and adolescents: A multicenter analysis of 14,644 patients from 106 nations. Diabetes Care. 32, 1647–8 (2009). - PMC - PubMed
  26.  
    1. Dabelea D. et al.. Trends in the prevalence of ketoacidosis at diagnosis: The SEARCH for Diabetes in Youth Study. Pediatrics. 133, e938–e945 (2014). - PMC - PubMed
  27.  
    1. Oyarzabal Irigoyen M. et al.. Ketoacidosis at onset of type 1 diabetes mellitus in pediatric age in Spain and review of the literature. Pediatr Endocrinol Rev Mar 9, 669–71 (2012). - PubMed
  28.  
    1. Choleau C. et al.. Ketoacidosis at diagnosis of type 1 diabetes in French children and adolescents. Diabetes Metab. 40, 137–142 (2014). - PubMed
  29.  
    1. Fredheim S. et al.. Diabetic ketoacidosis at the onset of type 1 diabetes is associated with future HbA1c levels. Diabetologia 56, 995–1003 (2013). - PubMed
  30.  
    1. Pediatric Diabetes Consortium. The pediatric diabetes consortium: improving care of children with type 1 diabetes through collaborative research. Diabetes Technol. Ther. 12, 685–688 (2010). - PMC - PubMed
  31.  
    1. Hekkala A., Knip M. & Veijola R. Ketoacidosis at diagnosis of type 1 diabetes in children in northern Finland: temporal changes over 20 years. Diab Care. 30, 861–866 (2007). - PubMed
  32.  
    1. Karges B. et al.. Management of diabetes mellitus in infants. Nat Rev Endocrinol 8, 201–211 (2012). - PubMed
  33.  
    1. Hamadeh R. R., Al-Roomi K. & Masuadi E. Determinants of family size in a Gulf Arab state: a comparison between two areas. J. R. Soc. Promot. Health 128, 226–232 (2008). - PubMed
  34.  
    1. Channanath A., Farran B., Behbehani K. & Thangavel A. T. State of diabetes, hypertension, and comorbidity in Kuwait. Diabetes Care. 36, e75 (2013). - PMC - PubMed
  35.  
    1. Edge J. A., Hawkins M. M., Winter D. L. & Dunger D. B. The risk and outcome of cerebral oedema developing during diabetic ketoacidosis. Arch. Dis. Child. 85, 16–22 (2001). - PMC - PubMed
  36.  
    1. Kuwait | Data. Available at: http://data.worldbank.org/country/kuwait. (Accessed: 2nd November 2015).
  37.  
    1. Report from UNICEF on at a glance: Kuwait. < http://www.unicef.org/infobycountry/kuwait_statistics.html> accessed at 12 November 2015.
  38.  
    1. International Diabetes Federation. IDF Diabetes, 6 ed. Brussels, Belgium: International Diabetes Federation, 2013. Available at: http://www.diabetesatlas.org (accessed 2nd June 2015).
  39.  
    1. Karges B. et al.. Long-acting insulin analogs and the risk of diabetic ketoacidosis in children and adolescents wuith type 1 diabetes: a prospective study of 10,682 patients from 271 institutions. Diabetes Care. 33, 1031–33 (2010). - PMC - PubMed
  40.  
    1. Vanelli M. et al.. Effectiveness of a prevention program for diabetic ketoacidosis in children. An 8-year study in schools and private practices. Diabetes Care 22, 7–9 (1999). - PubMed
  41.  
    1. Vanelli M., Chiari G., Lacava S. & Lovane B. Campaign for diabetic ketoacidosis prevention still effective 8 years later. Diabetes Care 30, e12 (2007). - PubMed
  42.  
    1. Lansdown A. J. et al.. Prevalence of ketoacidosis at diagnosis of childhood onset Type 1 diabetes in Wales from 1991 to 2009 and effect of a publicity campaign. Diabet. Med. J. Br. Diabet. Assoc. 29, 1506–1509 (2012). - PubMed
  43.  
    1. Gruber N., Reichman B., Lerner-Geva L. & Pinhas-Hamiel O. Increased risk of severe diabetic ketoacidosis among Jewish ultra-orthodox children. Acta Diabetol. 52, 365–71 (2015). - PubMed
  44.  
    1. Lewis K. R., Clark C. & Velarde M. C. Socioeconomic factors associated with pediatric diabetic ketoacidosis admissions in Southern West Virginia. Clin Endocrinol. 81, 218–21 (2014). - PubMed
  45.  
    1. Moussa M. A. et al.. Prevalence of type 1 diabetes among 6- to 18-year-old Kuwaiti children. Med Princ Pract. 14, 87–91 (2005). - PubMed
  46.  
    1. Saleh S. I., Tuhmaz M. M., Sarkhouh M. Y. & El-Gawabi M. A. Urinary tract infection in infants and children in Al-Jahra Area, Kuwait: An overview. J Kuwait Med Assoc 35, 31–35 (2003).
  47.  
    1. Eng J. V. et al.. Consumer attitudes and use of antibiotics. Emerg. Infect. Dis. 9, 1128–113 (2003). - PMC - PubMed
  48.  
    1. Mokaddas E. M., Wilson S. & Sanyal S. C. Prevalence of penicillin-resistant Streptococcus pneumoniae in Kuwait. J. Chemother. 13, 154–160 (2001). - PubMed
  49.  
    1. Mokaddas E. M., Rotimi V. O. & Albert M. J. Implications of streptococcus pneumoniae penicillin resistance and serotype distribution in Kuwait for disease treatment and prevention. Clin Vaccine Immunol. 15, 203–207 (2008). - PMC - PubMed