Extreme heat and work injuries in Kuwait's hot summers

Affiliations


Abstract

Background: Hot, desert Gulf countries are host to millions of migrant workers doing outdoor jobs such as construction and hospitality. The Gulf countries apply a summertime ban on midday work to protect workers from extreme heat, although without clear evidence of effectiveness. We assessed the risk of occupational injuries associated with extreme hot temperatures during the summertime ban on midday work in Kuwait.

Methods: We collected daily occupational injuries in the summer months that are reported to the Ministry of Health's Occupational Health Department for 5 years from 2015 to 2019. We fitted generalised additive models with a quasi-Poisson distribution in a time series design. A 7-day moving average of daily temperature was modelled with penalised splines adjusted for relative humidity, time trend and day of the week.

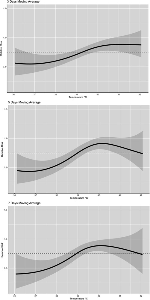
Results: During the summertime ban, the daily average temperature was 39.4°C (±1.8°C). There were 7.2, 7.6 and 9.4 reported injuries per day in the summer months of June, July and August, respectively. Compared with the 10th percentile of summer temperatures in Kuwait (37.0°C), the average day with a temperature of 39.4°C increased the relative risk of injury to 1.44 (95% CI 1.34 to 1.53). Similarly, temperatures of 40°C and 41°C were associated with relative risks of 1.48 (95% CI 1.39 to 1.59) and 1.44 (95% CI 1.27 to 1.63), respectively. At the 90th percentile (42°C), the risks levelled off (relative risk 1.21; 95% CI 0.93 to 1.57).

Conclusion: We found substantial increases in the risk of occupational injury from extremely hot temperatures despite the ban on midday work policy in Kuwait. 'Calendar-based' regulations may be inadequate to provide occupational heat protections, especially for migrant workers.

Keywords: Climate; Environment; Public health; Transients and Migrants.

Conflict of interest statement

Competing interests: None declared.


Figures


Similar articles

Extreme heat and occupational injuries in different climate zones: A systematic review and meta-analysis of epidemiological evidence.

Fatima SH, Rothmore P, Giles LC, Varghese BM, Bi P.Environ Int. 2021 Mar;148:106384. doi: 10.1016/j.envint.2021.106384. Epub 2021 Jan 17.PMID: 33472088 Review.

Nationwide epidemiological study for estimating the effect of extreme outdoor temperature on occupational injuries in Italy.

Marinaccio A, Scortichini M, Gariazzo C, Leva A, Bonafede M, De' Donato FK, Stafoggia M, Viegi G, Michelozzi P; BEEP Collaborative Group.Environ Int. 2019 Dec;133(Pt A):105176. doi: 10.1016/j.envint.2019.105176. Epub 2019 Oct 22.PMID: 31654985

Outdoor ambient temperatures and occupational injuries and illnesses: Are there risk differences in various regions within a city?

Fatima SH, Rothmore P, Giles LC, Bi P.Sci Total Environ. 2022 Jun 20;826:153945. doi: 10.1016/j.scitotenv.2022.153945. Epub 2022 Feb 18.PMID: 35189241

Extreme temperatures and mortality in Kuwait: Who is vulnerable?

Alahmad B, Shakarchi AF, Khraishah H, Alseaidan M, Gasana J, Al-Hemoud A, Koutrakis P, Fox MA.Sci Total Environ. 2020 Aug 25;732:139289. doi: 10.1016/j.scitotenv.2020.139289. Epub 2020 May 11.PMID: 32438154

Heat Exposure and Occupational Injuries: Review of the Literature and Implications.

Spector JT, Masuda YJ, Wolff NH, Calkins M, Seixas N.Curr Environ Health Rep. 2019 Dec;6(4):286-296. doi: 10.1007/s40572-019-00250-8.PMID: 31520291 Free PMC article. Review.


KMEL References


References

  1.  
    1. World Meteorological Organization . Press release: 2021 one of the seven warmest years on record, WMO consolidated data shows. 2022. Available: https://public.wmo.int/en/media/press-release/2021-one-of-seven-warmest-...
  2.  
    1. Pal JS, Eltahir EAB. Future temperature in southwest asia projected to exceed a threshold for human adaptability. Nature Clim Change 2016;6:197–200. 10.1038/nclimate2833 - DOI
  3.  
    1. Safieddine S, Clerbaux C, Clarisse L, et al. . Present and future land surface and wet bulb temperatures in the arabian peninsula. Environ Res Lett 2022;17:044029. 10.1088/1748-9326/ac507c - DOI
  4.  
    1. Alahmad B, Vicedo-Cabrera AM, Chen K, et al. . Climate change and health in kuwait: temperature and mortality projections under different climatic scenarios. Environ Res Lett 2022;17:074001. 10.1088/1748-9326/ac7601 - DOI
  5.  
    1. Alahmad B, Shakarchi AF, Khraishah H, et al. . Extreme temperatures and mortality in kuwait: who is vulnerable? Sci Total Environ 2020;732:139289. 10.1016/j.scitotenv.2020.139289 - DOI - PubMed
  6.  
    1. Vainio H. Changing work and workers’ health in the 21st century – a view from kuwait. International Labor Organization (ILO); 2019. Available: https://www.ilo.org/global/topics/safety-and-health-at-work/events-train...
  7.  
    1. Flouris AD, Dinas PC, Ioannou LG, et al. . Workers’ health and productivity under occupational heat strain: a systematic review and meta-analysis. Lancet Planet Health 2018;2:e521–31. 10.1016/S2542-5196(18)30237-7 - DOI - PubMed
  8.  
    1. Spector JT, Masuda YJ, Wolff NH, et al. . Heat exposure and occupational injuries: review of the literature and implications. Curr Environ Health Rep 2019;6:286–96. 10.1007/s40572-019-00250-8 - DOI - PMC - PubMed
  9.  
    1. Fatima SH, Rothmore P, Giles LC, et al. . Extreme heat and occupational injuries in different climate zones: A systematic review and meta-analysis of epidemiological evidence. Environ Int 2021;148:106384. 10.1016/j.envint.2021.106384 - DOI - PubMed
  10.  
    1. Kenny GP, Notley RP, Flouris AD, et al. . Climate change and heat exposure: impact on health in occupational and general populations. In: Adams WM, Jardine JF, eds. Exertional Heat Illness: A Clinical and Evidence-Based Guide. Cham: Springer International Publishing, 2020: 225–61. 10.1007/978-3-030-27805-2 - DOI
  11.  
    1. Moyce SC, Schenker M. Migrant workers and their occupational health and safety. Annu Rev Public Health 2018;39:351–65. 10.1146/annurev-publhealth-040617-013714 Available: https://www.annualreviews.org/toc/publhealth/39/1 - DOI - PubMed
  12.  
    1. Preibisch K, Otero G. Does citizenship status matter in Canadian agriculture? workplace health and safety for migrant and immigrant laborers. Rural Sociol 2014;79:174–99. 10.1111/ruso.12043 Available: http://doi.wiley.com/10.1111/ruso.2014.79.issue-2 - DOI
  13.  
    1. Public Authority of Manpower . Ministerial decree no.535 for the year 2015 regarding working hours in open spaces. 2015.
  14.  
    1. International Labour Organization . Working on a warmer planet: the impact of heat stress on labour productivity and decent work. Geneva: International Labour Office, 2019.
  15.  
    1. Central Statistical Bureau . Migration statistics bulletin. government of kuwait. 2021.
  16.  
    1. Nadalin V, Smith PM. Examining the impact of occupational health and safety vulnerability on injury claim reporting in three Canadian provinces. Am J Ind Med 2020;63:435–41. 10.1002/ajim.23094 - DOI - PubMed
  17.  
    1. Wood SN, Pya N, Säfken B. Smoothing parameter and model selection for general smooth models. Journal of the American Statistical Association 2016;111:1548–63. 10.1080/01621459.2016.1180986 - DOI
  18.  
    1. Anderson GB, Bell ML, Peng RD. Methods to calculate the heat index as an exposure metric in environmental health research. Environ Health Perspect 2013;121:1111–9. 10.1289/ehp.1206273 - DOI - PMC - PubMed
  19.  
    1. Gasparrini A, Armstrong B, Kenward MG. Distributed lag non-linear models. Stat Med 2010;29:2224–34. 10.1002/sim.3940 - DOI - PMC - PubMed
  20.  
    1. Armstrong BG, Gasparrini A, Tobias A. Conditional Poisson models: a flexible alternative to conditional logistic case cross-over analysis. BMC Med Res Methodol 2014;14:122. 10.1186/1471-2288-14-122 - DOI - PMC - PubMed
  21.  
    1. Wood S, Wood MS. Package’ ’ ’mgcv. R package version. 2015.
  22.  
    1. Xiang J, Bi P, Pisaniello D, et al. . Association between high temperature and work-related injuries in Adelaide, South Australia, 2001-2010. Occup Environ Med 2014;71:246–52. 10.1136/oemed-2013-101584 - DOI - PubMed
  23.  
    1. Basagaña X. High ambient temperatures and work-related injuries. Occup Environ Med 2014;71:231. 10.1136/oemed-2013-102031 - DOI - PubMed
  24.  
    1. Morabito M, Cecchi L, Crisci A, et al. . Relationship between work-related accidents and hot weather conditions in Tuscany (central Italy). Ind Health 2006;44:458–64. 10.2486/indhealth.44.458 - DOI - PubMed
  25.  
    1. Martínez-Solanas È, López-Ruiz M, Wellenius GA, et al. . Evaluation of the impact of ambient temperatures on occupational injuries in Spain. Environ Health Perspect 2018;126:067002. 10.1289/EHP2590 - DOI - PMC - PubMed
  26.  
    1. Marinaccio A, Scortichini M, Gariazzo C, et al. . Nationwide epidemiological study for estimating the effect of extreme outdoor temperature on occupational injuries in italy. Environ Int 2019;133(Pt A):105176. 10.1016/j.envint.2019.105176 - DOI - PubMed
  27.  
    1. Migrants & Refugees Section . Country profiles: kuwait. 2021. Available: https://migrants-refugees.va/country-profile/kuwait-2/
  28.  
    1. Alahmad B, AlMekhled D, Odeh A, et al. . Disparities in excess deaths from the COVID-19 pandemic among migrant workers in Kuwait. BMC Public Health 2021;21:1668. 10.1186/s12889-021-11693-w - DOI - PMC - PubMed
  29.  
    1. Hamadah H, Alahmad B, Behbehani M, et al. . COVID-19 clinical outcomes and nationality: results from a nationwide registry in Kuwait. BMC Public Health 2020;20:1384. 10.1186/s12889-020-09490-y - DOI - PMC - PubMed
  30.  
    1. Alahmad B, Kurdi H, Colonna K, et al. . COVID-19 stressors on migrant workers in Kuwait: cumulative risk considerations. BMJ Glob Health 2020;5:e002995. 10.1136/bmjgh-2020-002995 - DOI - PMC - PubMed
  31.  
    1. Achilleos S, Al-Ozairi E, Alahmad B, et al. . Acute effects of air pollution on mortality: a 17-year analysis in kuwait. Environ Int 2019;126:476–83. 10.1016/j.envint.2019.01.072 - DOI - PMC - PubMed
  32.  
    1. Wegman DH, Neupane D, Sharma S, et al. . Dying for sport. Occup Environ Med 2022;79:73–4. 10.1136/oemed-2021-107978 - DOI - PubMed
  33.  
    1. Al-Bouwarthan M, Quinn MM, Kriebel D, et al. . Assessment of heat stress exposure among construction workers in the hot desert climate of Saudi Arabia. Ann Work Expo Health 2019;63:505–20. 10.1093/annweh/wxz033 - DOI - PMC - PubMed
  34.  
    1. Occupational Safety and Health Administration . Heat stress. OSHA, United States Department of Labor, 2017.
  35.  
    1. US Army Research Institute of Environmental Medicine (USARIEM) . Heat stress control and heat casuality management. Washington D.C: US Department of the Army and Airforce, 2003.
  36.  
    1. National Institute for Occupational Safety and Health (NIOSH) . Occupational exposure to heat and hot environments. Cincinnati, OH: U.S. Department of Health and Human Services, Centers for Disease Control and Prevention, National Institute for Occupational Safety and Health, 2016.
  37.  
    1. American Conference of Governmental Industrial Hygienists (ACGIH) . Heat stress and strain: TLV®7th edition documentation. Cincinnati, OH: ACGIH, 2017.
  38.  
    1. Glaser J, Hansson E, Weiss I, et al. . Preventing kidney injury among sugarcane workers: promising evidence from enhanced workplace interventions. Occup Environ Med 2020;77:527–34. 10.1136/oemed-2020-106406 - DOI - PMC - PubMed
  39.  
    1. Hansson E, Glaser J, Weiss I, et al. . Workload and cross-harvest kidney injury in a Nicaraguan sugarcane worker cohort. Occup Environ Med 2019;76:818–26. 10.1136/oemed-2019-105986 - DOI - PMC - PubMed
  40.  
    1. Pacheco-Zenteno F, Glaser J, Jakobsson K, et al. . The prevention of occupational heat stress in sugarcane workers in nicaragua-an interpretative phenomenological analysis. Front Public Health 2021;9:713711. 10.3389/fpubh.2021.713711 - DOI - PMC - PubMed
  41.  
    1. Alahmad B, Tomasso LP, Al-Hemoud A, et al. . Spatial distribution of land surface temperatures in Kuwait: urban heat and cool islands. Int J Environ Res Public Health 2020;17:2993. 10.3390/ijerph17092993 - DOI - PMC - PubMed